Looking for a real estate listing agreement template? You’ve come to the right place! Whether you’re a seasoned pro or new to the game, having a solid agreement in place is crucial for a successful transaction.
These templates outline the terms and conditions of the agreement between a seller and a real estate agent. They cover everything from commission rates to marketing strategies, making sure both parties are on the same page.
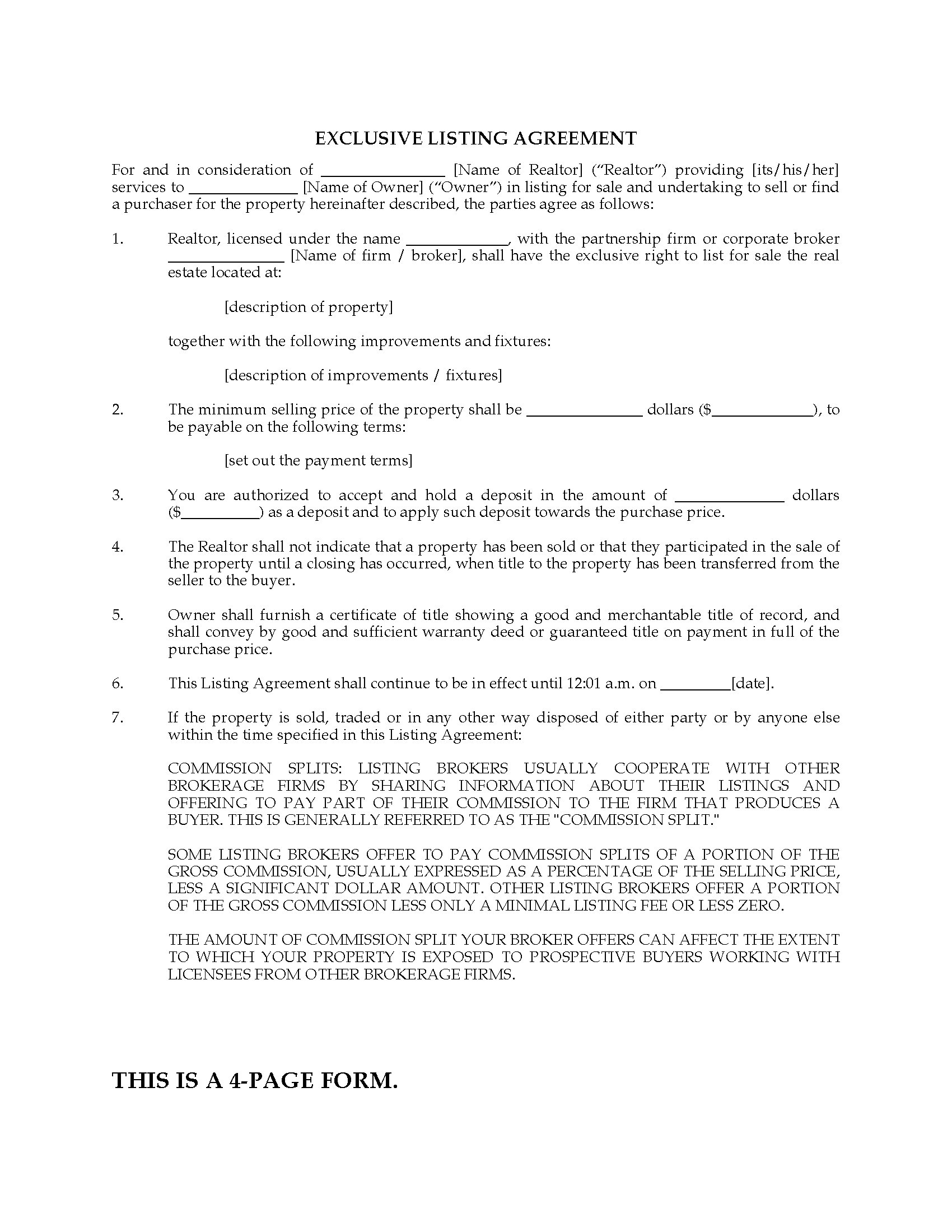
Real Estate Listing Agreement Template
Real Estate Listing Agreement Template: What to Include
When using a template, make sure it includes key details such as the property’s address, listing price, duration of the agreement, and any special conditions. Clear communication is key to a smooth transaction.
Additionally, the agreement should outline the agent’s responsibilities, such as conducting open houses, advertising the property, and negotiating offers on behalf of the seller. This ensures both parties understand their roles in the process.
Before signing any agreement, it’s essential to review it carefully and make any necessary changes to fit your specific needs. Consulting with a legal professional or real estate agent can also provide valuable insights and ensure all bases are covered.
In conclusion, having a real estate listing agreement template is essential for a successful transaction. By including all the necessary details and responsibilities, both parties can work together effectively towards a common goal: selling the property at the best possible price.
Real Estate Kids Listing Agreement Real Estate Marketing Canva
Free Real Estate Listing Agreement Template To Edit Online
The Listing Agreement Para 1 And 2 Parties And Property
Sample Listing Agreement KEMOnWheels
Free Real Estate Listing Agreement Template PDF Word





